DDPM

202597

16:23

DDPM:

 

假设我们的数据是人脸数据,这个数据存在一个分布p(x),但是我们不知道这个分布p(x)的具体形式,甚至p(x)有可能是不存在的。但是我们仍然希望能生成新的数据,e.g.p(x)这个分布中采样 。那么如何在不知道p(x)分布的情况下,从这个分布中采样呢?

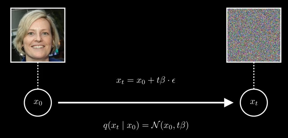
扩散模型通过从图片中去掉高斯噪声来解决这个问题。

 

对原始图片,逐步地增加随机噪声,最后得到完全随机噪声的图片,然后训练模型,,逐步地去掉图片中的噪声,恢复图片。

数学形式推导:

 

,那么条件概率q(x1|x0)就是一个均值为x0,方差为的高斯分布

 

所以,rather than seeing this as adding noise to x0, we can just imagine x1 we take a sample from a 均值x0,方差为的高斯分布,

 

同理,,那么条件概率q(x2|x0)就是一个均值为x0,方差为2的高斯分布,

对于时刻t

这样的问题是,我们希望时刻t的图片是一个均值为0,方差为1的高斯分布,而不是,意味着均值一直是x0方差随着t一直增加,因此,我们需要重新定义这个扩散过程。

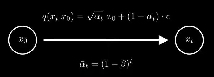
很显然,我们需要改变每一步分布的均值,我们在x前面加一个衰减系数

 

于是,q(xt|x0)可以写成下面的形式,这样就可以保证,只要大于0小于1,当t趋于无穷时,这个分布的均值收敛到0,方差收敛到1,是一个标准正态分布。

 

在实际中,在每步时是变化的,有一个schedule,而不是固定的,那么的公式就变成了下图形式,

 

现在,我们定义了一个扩散过程:将一个任意分布变成标准正态分布,

那么如何训练一个神经网络来reverse这个扩散过程呢?

 

中的就是神经网络中的参数,也就是说,输入一张图片到神经网络,然后神经网络输出另一张图片,这个过程就相当于从这个分布中采样,     中的就是这个分布的参数,神经网络拟合的就是这个分布的参数

那么,如何训练这个神经网络呢?极大似然!或者说minimize the negative log likelihood of producing a sample using our nn model. minimize

 

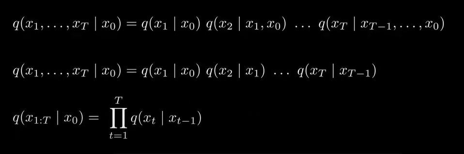
描述由x0到从x1到xT所有变量的联合概率分布表示了整个前向加噪过程:

 

同理,逆向去噪过程的联合概率分布,可以写成:

 

 

从公式可以看出,逆向去噪过程并没有conditioned(前向过程conditioned on x0),这和实际相符,逆向过程直接从一张高斯噪声图片开始,不需要任何先验,而前向过程要求输入x0

有了分布之后,现在才看如何得到似然函数的表达式,when dealing with joint probabilities, a useful first step is often to marginalize the distribution with respect to other variables,

 

 

但是我们能用上面这个式子计算得到吗?答案是并不能。上面这个式子表示 ,要得到神经网络生成图片x0的概率 ),我们需要sum over all possible paths capable of generating it,如下图所示,这是intractable的。

我们用一个trick,分子分母同乘以前向过程的联合概率分布,并写成期望的形式,由于convex的,我们可以应用jeson不等式,如下图所示,

 

这样,就得到了似然函数的上界ELBO,将ELBO进行重写,(推导过程详见DDPM论文补充材料),

 

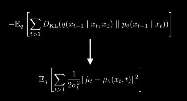
上式也就只剩下中间的的KL散度了,其中是真实后验,这里的q和前向过程中的q(xt|xt-1)不是一个q,如下图所示, conditioned on xtx0,是逆向过程的真实分布,并且我们是知道这个分布的closed form的形式的。那么既然已经有了逆向过程的解析分布表达式了,为什么还需要神经网络来学习这个分布呢,因为这个真实后验需要我们知道x0,但是在推理时,我们不知道x0,我们的目标就是恢复x0,但是在训练时,我们可以使用x0,从上图可以看出,训练的目标是让神经网络拟合一个分布来逼近真实后验分布,

 

 

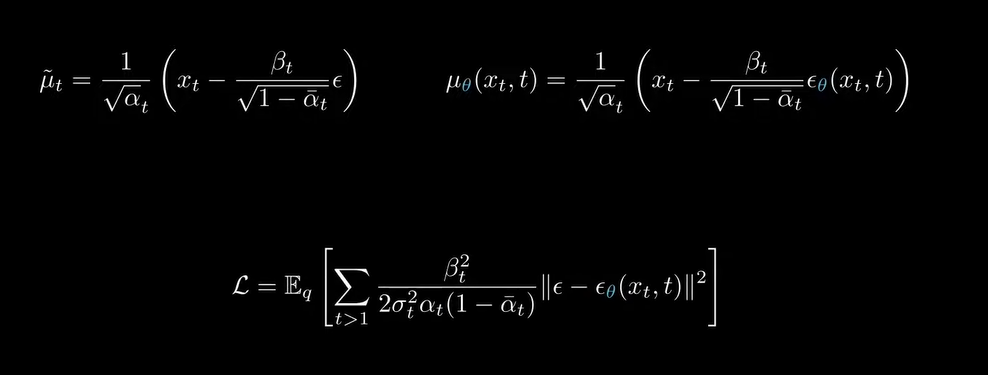
这个分布是高斯的,具体推导省略,那么我们也选择是一个高斯分布的形式,原因1)前向过程是高斯的,所以逆向过程也是高斯分布,更合理,2)高斯分布简洁。于是,我们的神经网络就要拟合这个高斯分布的均值和方差,在实际应用中,通常固定这个分布的方差,只需要拟合均值,也就是让两个分布的均值越接近越好。

 

训练的目标也就是拟合每一步的分布的均值,使得每一步的均值更接近真实后验分布的均值

 

于是,损失函数就变成了下图的形式

将均值换成误差的形式,重写成下图

 

神经网络的拟合目标就变成了第t步时的加的噪声,并对所有t求和。在实际应用中,通常随机挑选出t,而不是对所有的t拟合,最终 的收敛效果是一样的。

 

 

训练代码:

import torch

import deepinv

from torchvision import datasets, transforms

 

device = "cuda"

batch_size = 32

image_size = 32

 

transform = transforms.Compose(

    [

        transforms.Resize(image_size),

        transforms.ToTensor(),

        transforms.Normalize((0.0,), (1.0,)),

    ]

)

train_loader = torch.utils.data.DataLoader(

    datasets.MNIST(root="./data", train=True, download=True, transform=transform),

    batch_size=batch_size,

    shuffle=True,

)

 

lr = 1e-4

epochs = 100

 

model = deepinv.models.DiffUNet(in_channels=1, out_channels=1, pretrained=None).to(

    device

)

optimizer = torch.optim.Adam(model.parameters(), lr=lr)

mse = deepinv.loss.MSE()

 

beta_start = 1e-4

beta_end = 0.02

timesteps = 1000

 

betas = torch.linspace(beta_start, beta_end, timesteps, device=device)

alphas = 1.0 - betas

alphas_cumprod = torch.cumprod(alphas, dim=0)

sqrt_alphas_cumprod = torch.sqrt(alphas_cumprod)

sqrt_one_minus_alphas_cumprod = torch.sqrt(1.0 - alphas_cumprod)

 

for epoch in range(epochs):

    model.train()

    for data, _ in train_loader:

        imgs = data.to(device)

        noise = torch.randn_like(imgs)

        t = torch.randint(0, timesteps, (imgs.size(0),), device=device)

 

        noised_imgs = (

            sqrt_alphas_cumprod[t, None, None, None] * imgs

            + sqrt_one_minus_alphas_cumprod[t, None, None, None] * noise

        )

 

        optimizer.zero_grad()

        estimated_noise = model(noised_imgs, t, type_t="timestep")

        loss = mse(estimated_noise, noise)

        loss.backward()

        optimizer.step()

 

torch.save(

    model.state_dict(),

    "trained_diffusion_model.pth",

)

 

推理代码:

import torch

import deepinv

from pathlib import Path

 

device = "cuda"

image_size = 32

 

checkpoint_path = "./checkpoints/trained_diffusion_model.pth"

model = deepinv.models.DiffUNet(

    in_channels=1, out_channels=1, pretrained=Path(checkpoint_path)

).to(device)

 

beta_start = 1e-4

beta_end = 0.02

timesteps = 1000

 

betas = torch.linspace(beta_start, beta_end, timesteps, device=device)

alphas = 1.0 - betas

alphas_cumprod = torch.cumprod(alphas, dim=0)

sqrt_alphas_cumprod = torch.sqrt(alphas_cumprod)

sqrt_one_minus_alphas_cumprod = torch.sqrt(1.0 - alphas_cumprod)

 

model.eval()

 

n_samples = 32

 

with torch.no_grad():

    x = torch.randn(n_samples, 1, image_size, image_size).to(device)

 

    for t in reversed(range(timesteps)):

        t_tensor = torch.ones(n_samples, device=device).long() * t

 

        predicted_noise = model(x, t_tensor, type_t="timestep")

 

        alpha = alphas[t]

        alpha_cumprod = alphas_cumprod[t]

        beta = betas[t]

 

        if t > 0:

            noise = torch.randn_like(x)

        else:

            noise = 0

 

        x = (1 / torch.sqrt(alpha)) * (

            x - (beta / torch.sqrt(1 - alpha_cumprod)) * predicted_noise

        ) + torch.sqrt(beta) * noise

 

 

已使用 OneNote 创建。