强化学习的数学原理-第2课
2025年11月17日
20:42
贝尔曼方程
如何计算return?



写成矩阵的形式,

这就是bellman方程的形式。Though simple, it demonstrates the core idea: the value of one state relies on the values of other states.
状态值
═══════════════════════════════════════════════════════════════════════════════════════════════════
Consider the following single-step process: 首先考虑单步,
![]()
![]()
Note that St;At;Rt+1 are all random variables.都是随机变量,因为这个过程是随机(有概率分布)的
This step is governed by the following probability distributions:

St ==> At,是由概率分布policy π决定的,St,At==>Rt+1,是由reward函数决定的;St,At==>St+1,是由
状态转移函数决定的。
再来看多步,即一个trajectory,

Gt即这个trajectory的discounted return,
Gt也是个随机变量, is also a random variable since Rt+1;Rt+2; : : : are random variables.
Gt这个随机变量的期望(平均值)就是state value。

Remarks:
It is a function of s. 不同的状态,有不同的状态值函数。It is a conditional expectation with the condition that the state starts from s.
It is based on the policy . 不同的policy,有不同的状态值函数。For a dierent policy, the state value maybe dierent.
It represents the \value" of a state. If the state value is greater, then the policy is better because greater cumulative rewards can be obtained.
Q: What is the relationship between return and state value?
A: The state value is the mean of all possible returns that can be
obtained starting from a state. If everything -
- is deterministic, then state value is the same as return.
状态值和return的关系,状态值是所有trajectory return的平均值,而return是单个trajectory的。
Bellman方程
════════════════════════════════════════════════════════════════════════════════════════════════════

将状态值函数改写成上面的形式,
首先来看第一项,E[Rt+1|St=s]表示 当前t时刻的状态为s的条件下,下一个时刻,即t+1时刻的reward的期望,
也就是immediate reward。E[Rt+1|St=s]等于对当前状态s下所有可能的action(根据policy π)以及采取action后相应的reward进行求和。

然后看第二项,第二项表示 在当前时刻t所处状态为s的条件下,t+1时刻的state value。也就是
future reward。它等于 对当前状态s下所有可能的action(根据policy π)以及采取action后相应
的新的状态(根据状态转移概率)的状态值求和


这就是bellman方程,它的含义是,状态s的state value可以由下一步的immediate reward的期望(平均值)
加上future reward的期望(平均值)。
和是需要计算的状态值,也就是说,状态s的状态值由其他状态的状态值决定,是一种bootstrap。![]()
π(a|s) is a given policy. Solving the equation is called policy evaluation. 对于一种policy ,解上面这个
bellman方程(得到状态值),被称为policy evaluation。
p(r|s; a) and p(s'|s; a) represent the dynamic model.,环境模型,也就是两个概率,p(r|s; a) and p(s'|s; a)
p(r|s; a)表示 状态s条件下,采取action a时获得的reward,p(s'|s; a) 表示 状态s条件下,采取action a时,agent的新状态s'。
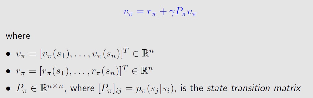
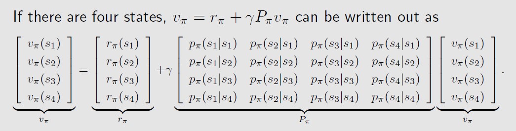
每个状态s都有一个状态值,也就是bellman公式,那么对于状态集合S,就有n个bellman公式,将这n个公式
写成矩阵的形式,

也就是下图就种,

求解这组bellman方程有2种方式,
一种是直接求闭式解,这种方式需要求矩阵的逆,

另一种是迭代求解,

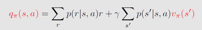
Action value
════════════════════════════════════════════════════════════════════════════════════════════════════
From state value to action value:
Action value和state value的关系:


已使用 OneNote 创建。